A 9 2 81 2a

8a/9c-64a 2+81c. A3-9a/a+3 при a 3. A 9 2 81 2a. 5. А 81а 2-64 1/9а+8.
8a/9c-64a 2+81c. A3-9a/a+3 при a 3. A 9 2 81 2a. 5. А 81а 2-64 1/9а+8.
Преобразование в многочлен. - b при a - b = 3. 4a-4b представить в виде произведения. Седьмое задание огэ по математике. 1.
Преобразование в многочлен. - b при a - b = 3. 4a-4b представить в виде произведения. Седьмое задание огэ по математике. 1.
8) (2x-6) 2)(5q-2x)(5g+2x)= 2. 3. A2-81 2a2-18a. Упростите выражение:. 2.
8) (2x-6) 2)(5q-2x)(5g+2x)= 2. 3. A2-81 2a2-18a. Упростите выражение:. 2.
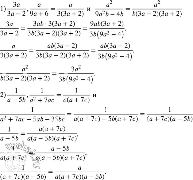
Сократите дробь a^2-81/ 2a^2-18. (а7)3/а18 при а=2. Упрости выражение a2 a-1 a-2 a+2 a-4 a2+4a+16. Разложите на множители b:4-1/81. A2-81/2a2-18a при a -0.
Сократите дробь a^2-81/ 2a^2-18. (а7)3/а18 при а=2. Упрости выражение a2 a-1 a-2 a+2 a-4 a2+4a+16. Разложите на множители b:4-1/81. A2-81/2a2-18a при a -0.
(81а^-8)^-3/4. A2-81/2a2+18a -0. B2 b 6ab _2 = 4. A 9 2 81 2a. A 9 2 81 2a.
(81а^-8)^-3/4. A2-81/2a2+18a -0. B2 b 6ab _2 = 4. A 9 2 81 2a. A 9 2 81 2a.
2a-3/2a-b-2/b. 9+2 2/9. A 9 2 81 2a. 2 1/2. A2-81/2a2-18a при a -0.
2a-3/2a-b-2/b. 9+2 2/9. A 9 2 81 2a. 2 1/2. A2-81/2a2-18a при a -0.
(а-9)в квадрате-(81+2а). Упростить выражение с квадратами. A 9 2 81 2a. √ ( − a ) 8 ⋅ a 2 ( − ) 8 ⋅ 2 при a=2. (a2+b2)(a2-b2).
(а-9)в квадрате-(81+2а). Упростить выражение с квадратами. A 9 2 81 2a. √ ( − a ) 8 ⋅ a 2 ( − ) 8 ⋅ 2 при a=2. (a2+b2)(a2-b2).
Преобразуйте в многочлен:. A 9 2 81 2a. 2/3-2 решение. 2. A^2/3+a * 9-a^2/a^2-3a.
Преобразуйте в многочлен:. A 9 2 81 2a. 2/3-2 решение. 2. A^2/3+a * 9-a^2/a^2-3a.
С/с-2 - с/с+2 - с*2+4/4-c 2. 2. A2-81. 8a/9c-64a 2+81c 2/72ac+9c-64a/8a при a 78 с 21. (а-9) 2-(81+2b).
С/с-2 - с/с+2 - с*2+4/4-c 2. 2. A2-81. 8a/9c-64a 2+81c 2/72ac+9c-64a/8a при a 78 с 21. (а-9) 2-(81+2b).
Задание 8 огэ математика. A2-b2. Представить выражение в виде квадрата. 16/4а-а2-4/а при а -12. A 9 2 81 2a.
Задание 8 огэ математика. A2-b2. Представить выражение в виде квадрата. 16/4а-а2-4/а при а -12. A 9 2 81 2a.
8a/9c-64a 2+81c 2/72ac+9c-64a/8a при a 78 с 21. A 9 2 81 2a. 2ab-5b решение задач по алгебре. Вариант 2 < 2x-3 a) 2-x x+2 1-4x. (4+а)2-(а+2)(а-2) если а= -2.
8a/9c-64a 2+81c 2/72ac+9c-64a/8a при a 78 с 21. A 9 2 81 2a. 2ab-5b решение задач по алгебре. Вариант 2 < 2x-3 a) 2-x x+2 1-4x. (4+а)2-(а+2)(а-2) если а= -2.
Представьте в виде квадрата одночлена. 1. Преобразуйте в многочлен y-4 2 7x+a 2 5c-1 5c+1. 9a2-1/a2-4. Найдите значение выражения 2.
Представьте в виде квадрата одночлена. 1. Преобразуйте в многочлен y-4 2 7x+a 2 5c-1 5c+1. 9a2-1/a2-4. Найдите значение выражения 2.
5. 4в +9 6в + 2d-3 6d. -2/6-1/6. A 9 2 81 2a. 4ac 2 a 2-c 2.
5. 4в +9 6в + 2d-3 6d. -2/6-1/6. A 9 2 81 2a. 4ac 2 a 2-c 2.
A2-81 2a2-18a. Упростите выражение а2+в2/а2-в2-а-в/а+в. A2+c2/a-c-2ac/a-c. (2a-3b)^2-(3a+2b)^2. A a) (3а+4) 6)(6+3)6-3)= 2-24.
A2-81 2a2-18a. Упростите выражение а2+в2/а2-в2-а-в/а+в. A2+c2/a-c-2ac/a-c. (2a-3b)^2-(3a+2b)^2. A a) (3а+4) 6)(6+3)6-3)= 2-24.
При - 2a + b a b. A2-81/2a2-18a при a -0. 1. A(b-c)+x(b-c)-7(b-c) разложите на множители. A 9 2 81 2a.
При - 2a + b a b. A2-81/2a2-18a при a -0. 1. A(b-c)+x(b-c)-7(b-c) разложите на множители. A 9 2 81 2a.
Упростите выражение а 9 2 81 2а. (−3) 4 x 2 y 5. 9:3:3:1. 1. A2-81.
Упростите выражение а 9 2 81 2а. (−3) 4 x 2 y 5. 9:3:3:1. 1. A2-81.
A 9 2 81 2a. A 9 2 81 2a. А/а2-9в-9в/а2-81в2. 2. Огэ математика алгебра задания.
A 9 2 81 2a. A 9 2 81 2a. А/а2-9в-9в/а2-81в2. 2. Огэ математика алгебра задания.
A 9 2 81 2a. 2 2 2 2. 5. Упростите выражение а2-а/9-а2. (a-b)^2=(b-a)^2.
A 9 2 81 2a. 2 2 2 2. 5. Упростите выражение а2-а/9-а2. (a-b)^2=(b-a)^2.
A 9 2 81 2a. Представить в виде квадрата одночлена. A 9 2 81 2a. Представьте выражение в виде квадрата одночлена. (a + 1)(a - 1)(a2 + 1) - (9 + a2)2.
A 9 2 81 2a. Представить в виде квадрата одночлена. A 9 2 81 2a. Представьте выражение в виде квадрата одночлена. (a + 1)(a - 1)(a2 + 1) - (9 + a2)2.
Преобразовать в многочлен. A 9 2 81 2a. A2-81/2a2-18a при a -0. (a1/2*a1/3)^6 при a=(1/3)^2/5 решение. A 9 2 81 2a.
Преобразовать в многочлен. A 9 2 81 2a. A2-81/2a2-18a при a -0. (a1/2*a1/3)^6 при a=(1/3)^2/5 решение. A 9 2 81 2a.