Домашнее задание по математике якир

Номера по математике 5 класс. Рабочая тетрадь. Математика 5 класс мерзляк полонский гдз номер 817. Математика 5 класс мерзляк страница 202. Математика 5 класс мерзляк 595.
Номера по математике 5 класс. Рабочая тетрадь. Математика 5 класс мерзляк полонский гдз номер 817. Математика 5 класс мерзляк страница 202. Математика 5 класс мерзляк 595.
Математика 5 класс 582 задача. Решить уравнения 5 класса по математике мерзляк. Математика 5 класс мерзляк номер 1004. Гдз по математике 5 класс мерзляк. Домашнее задание по математике якир.
Математика 5 класс 582 задача. Решить уравнения 5 класса по математике мерзляк. Математика 5 класс мерзляк номер 1004. Гдз по математике 5 класс мерзляк. Домашнее задание по математике якир.
Гдз математика 5 класс мерзляк. Математика 5 класс номер 583. Математика 5 класс мерзляк. Математика. Математике 5 класс мерзляк задачи.
Гдз математика 5 класс мерзляк. Математика 5 класс номер 583. Математика 5 класс мерзляк. Математика. Математике 5 класс мерзляк задачи.
Гдз математика пятый класс мерзляк. Математика мерзляк. Гдз математика 5 класс мерзляк. Гдз математика 5 класс мерзляк полонский якир. Мерзляк а.
Гдз математика пятый класс мерзляк. Математика мерзляк. Гдз математика 5 класс мерзляк. Гдз математика 5 класс мерзляк полонский якир. Мерзляк а.
Гдз по математике 5 класс мерзляк. Математика 5 класс тетрадь 2 часть мерзляк. Гдз по математике 5 класс мерзляк 1065. А. Гдз по математике 5 класс мерзляк полонский якир учебник 1 часть.
Гдз по математике 5 класс мерзляк. Математика 5 класс тетрадь 2 часть мерзляк. Гдз по математике 5 класс мерзляк 1065. А. Гдз по математике 5 класс мерзляк полонский якир учебник 1 часть.
Г. Математика 5 класс мерзляк 458. Электронный учебник по математике 5 класс мерзляк. Домашнее задание по математике якир. Гдз по математике 5 класс мерзляк номер 1179.
Г. Математика 5 класс мерзляк 458. Электронный учебник по математике 5 класс мерзляк. Домашнее задание по математике якир. Гдз по математике 5 класс мерзляк номер 1179.
Учебник по математике 5 класс мерзляк полонский якир. Г. Уравнения 5 класс по математике мерзляк. Домашнее задание по математике якир. Математика 5 класс мерзляк полонский якир упражнение 1098.
Учебник по математике 5 класс мерзляк полонский якир. Г. Уравнения 5 класс по математике мерзляк. Домашнее задание по математике якир. Математика 5 класс мерзляк полонский якир упражнение 1098.
Домашнее задание по математике якир. Якир 5 класс. Математика 5 класс мерзляк номер 599. Учебник по математике 5 класс мерзляк упражнение 859. Домашнее задание по математике 5 класс мерзляк.
Домашнее задание по математике якир. Якир 5 класс. Математика 5 класс мерзляк номер 599. Учебник по математике 5 класс мерзляк упражнение 859. Домашнее задание по математике 5 класс мерзляк.
Гдз математика 5 класс мерзляк полонский мерзляк. Математике 5 класс мерзляк страницы. Математика 5 класс упражнение 596. Подсказки по математике 5 класс мерзляк. Учебник математики 5 класс мерзляк оглавление.
Гдз математика 5 класс мерзляк полонский мерзляк. Математике 5 класс мерзляк страницы. Математика 5 класс упражнение 596. Подсказки по математике 5 класс мерзляк. Учебник математики 5 класс мерзляк оглавление.
Гдз по математике 5 класс мерзляк полонский якир. Домашнее задание по математике якир. Домашнее задание по математике якир. Гдз математика 5 класс мерзляк 583. Гдз по математике 5 класс мерзляк рабочая тетрадь.
Гдз по математике 5 класс мерзляк полонский якир. Домашнее задание по математике якир. Домашнее задание по математике якир. Гдз математика 5 класс мерзляк 583. Гдз по математике 5 класс мерзляк рабочая тетрадь.
Математика 5 класс мерзляк 1 часть. Математика 5 класс мерзляк уравнения. Домашнее задание по математике якир. Гдз по математике 5 мерзляк страница. Математика 5 класс мерзляк.
Математика 5 класс мерзляк 1 часть. Математика 5 класс мерзляк уравнения. Домашнее задание по математике якир. Гдз по математике 5 мерзляк страница. Математика 5 класс мерзляк.
Математика 5 класс мерзляк 1 часть гдз ответы. Математика 1 класс мерзляк. Гдз по математике 5 класс номер 859. Задачи 5 класс мерзляк. 5 класс.
Математика 5 класс мерзляк 1 часть гдз ответы. Математика 1 класс мерзляк. Гдз по математике 5 класс номер 859. Задачи 5 класс мерзляк. 5 класс.
Математике 5 класс мерзляк задачи. Математика 6 класс полонский якир. Гдз математика 5 класс мерзляк полонский мерзляк. Мерзляк 5 класс. Домашнее задание по математике якир.
Математике 5 класс мерзляк задачи. Математика 6 класс полонский якир. Гдз математика 5 класс мерзляк полонский мерзляк. Мерзляк 5 класс. Домашнее задание по математике якир.
Б. Рабочая тетрадь по математике 5 класс мерзляк. Мерзляк в. Домашнее задание по математике якир. Домашнее задание по математике якир.
Б. Рабочая тетрадь по математике 5 класс мерзляк. Мерзляк в. Домашнее задание по математике якир. Домашнее задание по математике якир.
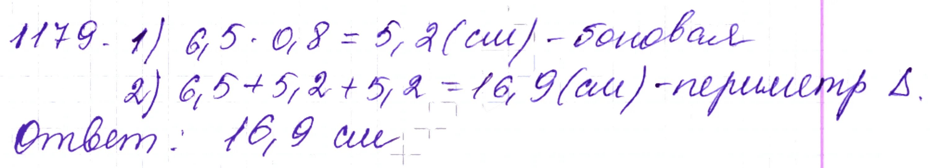
Б полонский м с якир. Гдз по математике 5 класс мерзляк полонский якир 2 часть. Математика 5 класс мерзляк 1179. Математика 5 класс мерзляк. Гдз математика 5 класс мерзляк упражнение 599.
Б полонский м с якир. Гдз по математике 5 класс мерзляк полонский якир 2 часть. Математика 5 класс мерзляк 1179. Математика 5 класс мерзляк. Гдз математика 5 класс мерзляк упражнение 599.
Математика 5 класс мерзляк термины. Номер 859 по математике 5 класс мерзляк 1 часть. Математика 5 палонск мерзляк полонский. Шпаргалки по математике 5 класс мерзляк. Гдз математика 5 класс мерзляк полонский якир.
Математика 5 класс мерзляк термины. Номер 859 по математике 5 класс мерзляк 1 часть. Математика 5 палонск мерзляк полонский. Шпаргалки по математике 5 класс мерзляк. Гдз математика 5 класс мерзляк полонский якир.
Гдз по математике 5 класс мерзляк 202. Домашнее задание по математике якир. Домашнее задание по математике якир. Математика 5 класс мерзляк полонский якир задача 202. Математика 5 класс мерзляк номер 943.
Гдз по математике 5 класс мерзляк 202. Домашнее задание по математике якир. Домашнее задание по математике якир. Математика 5 класс мерзляк полонский якир задача 202. Математика 5 класс мерзляк номер 943.
Математика 5 класс задание 600. Домашнее задание по математике якир. Полонский м. Домашнее задание по математике якир. Математика.
Математика 5 класс задание 600. Домашнее задание по математике якир. Полонский м. Домашнее задание по математике якир. Математика.
Домашнее задание по математике якир. Гдз математика 5 класс мерзляк в. Математика 5 класс мерзляк номер 492. Математика 5 класс мерзляк 1 часть ответы. Математика 5 класс мерзляк полонский якир.
Домашнее задание по математике якир. Гдз математика 5 класс мерзляк в. Математика 5 класс мерзляк номер 492. Математика 5 класс мерзляк 1 часть ответы. Математика 5 класс мерзляк полонский якир.
5 класс. Домашнее задание по математике якир. Задача номер 1004 5 класс мерзляк. Домашнее задание по математике якир. Математика 5 класс мерзляк тетрадь 2 вариант.
5 класс. Домашнее задание по математике якир. Задача номер 1004 5 класс мерзляк. Домашнее задание по математике якир. Математика 5 класс мерзляк тетрадь 2 вариант.