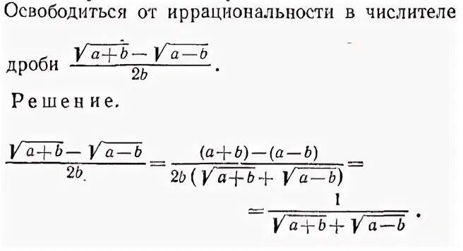
Иррациональность в числителе

Как избавиться от корня в знаменателе дроби. Иррациональность в числителе. Иррациональность в числителе. Освобождение от иррациональности в знаменателе дроби. Как избавиться от корня в знаменателе.
Как избавиться от корня в знаменателе дроби. Иррациональность в числителе. Иррациональность в числителе. Освобождение от иррациональности в знаменателе дроби. Как избавиться от корня в знаменателе.
Иррациональность в знаменателе дроби. Избавление от иррациональности в числителе дроби. Избавиться от иррациональности в знаменателе. Избавьтесь от иррациональности в знаменателе дроби. Исключить иррациональность из знаменателя дроби.
Иррациональность в знаменателе дроби. Избавление от иррациональности в числителе дроби. Избавиться от иррациональности в знаменателе. Избавьтесь от иррациональности в знаменателе дроби. Исключить иррациональность из знаменателя дроби.
Как освободить дробь от корня в знаменателе. Освобождение дроби от иррациональности. Иррациональность в числителе. Иррациональность в числителе. Иррациональность в знаменателе.
Как освободить дробь от корня в знаменателе. Освобождение дроби от иррациональности. Иррациональность в числителе. Иррациональность в числителе. Иррациональность в знаменателе.
Исключить иррациональность в знаменателе. Иррациональность в числителе. Освободитесь от иррациональности в знаменателе дроби. Освободитесь от иррациональности в знаменателе дроби. Освобождение от иррациональности в знаменателе 8 класс.
Исключить иррациональность в знаменателе. Иррациональность в числителе. Освободитесь от иррациональности в знаменателе дроби. Освободитесь от иррациональности в знаменателе дроби. Освобождение от иррациональности в знаменателе 8 класс.
Освобождение от иррациональности в знаменателе дроби. Освободить от иррациональности в знаменателе дроби. Интегрирование от иррациональных функций. Cos^2a в дробь. Иррациональность в числителе.
Освобождение от иррациональности в знаменателе дроби. Освободить от иррациональности в знаменателе дроби. Интегрирование от иррациональных функций. Cos^2a в дробь. Иррациональность в числителе.
Освобождение дроби от иррациональности в знаменателе дроби. Иррациональность в числителе. Как освободить иррациональность в знаменателе дроби. Правило освобождения от иррациональности в знаменателе дроби. Докажите иррациональность числа log 7 5.
Освобождение дроби от иррациональности в знаменателе дроби. Иррациональность в числителе. Как освободить иррациональность в знаменателе дроби. Правило освобождения от иррациональности в знаменателе дроби. Докажите иррациональность числа log 7 5.
Как освободить дробь от корня в знаменателе. Способы избавления от иррациональности в числителе. Освободитесь от иррациональности в числителе дроби. Как избавиться от иррациональности в числителе дроби. Избавление от знаменателя в дроби.
Как освободить дробь от корня в знаменателе. Способы избавления от иррациональности в числителе. Освободитесь от иррациональности в числителе дроби. Как избавиться от иррациональности в числителе дроби. Избавление от знаменателя в дроби.
Освобождение от иррациональности в знаменателе дроби 8. Иррациональность в числителе. Избавление от иррациональности в знаменателе дроби. Преобразования числовых рациональных выражений. Иррациональность в числителе.
Освобождение от иррациональности в знаменателе дроби 8. Иррациональность в числителе. Избавление от иррациональности в знаменателе дроби. Преобразования числовых рациональных выражений. Иррациональность в числителе.
Иррациональность в числителе. Избавление от иррациональности в знаменателе дроби. Избавление от иррациональности в дроби. Как избавиться от знаменателя в дроби. Освобождение от иррациональности в знаменателе дроби.
Иррациональность в числителе. Избавление от иррациональности в знаменателе дроби. Избавление от иррациональности в дроби. Как избавиться от знаменателя в дроби. Освобождение от иррациональности в знаменателе дроби.
Решение иррациональных дробей. Избавьтесь от иррациональности в знаменателе дроби. Освободитесь от иррациональности в знаменателе дроби. Освобождение дроби от иррациональности. Освободитесь от иррациональности в знаменателе дроби.
Решение иррациональных дробей. Избавьтесь от иррациональности в знаменателе дроби. Освободитесь от иррациональности в знаменателе дроби. Освобождение дроби от иррациональности. Освободитесь от иррациональности в знаменателе дроби.
Освобождение дроби от иррациональности. Иррациональность в числителе. Знаменатель дроби. Интегралы с иррациональностью. Избавиться от иррациональности в числителе.
Освобождение дроби от иррациональности. Иррациональность в числителе. Знаменатель дроби. Интегралы с иррациональностью. Избавиться от иррациональности в числителе.
Исключить иррациональность из знаменателя. Интегралы от иррациональных функций. Избавьтесь от иррациональности в знаменателе. Избавление от иррациональности в знаменателе дроби с корнями 8. Исключить иррациональность в знаменателе дроби.
Исключить иррациональность из знаменателя. Интегралы от иррациональных функций. Избавьтесь от иррациональности в знаменателе. Избавление от иррациональности в знаменателе дроби с корнями 8. Исключить иррациональность в знаменателе дроби.
Иррациональность в числителе. Докажите иррациональность числа log4 3. Освобождение от иррациональности в знаменателе дроби. Избавление от иррациональности в знаменателе дроби. Иррациональность в числителе.
Иррациональность в числителе. Докажите иррациональность числа log4 3. Освобождение от иррациональности в знаменателе дроби. Избавление от иррациональности в знаменателе дроби. Иррациональность в числителе.
Исключите иррациональное число из знаменателя. Избавление от иррациональности в знаменателе. Освободи дробь от иррациональности в знаменателе. Докажите иррациональность числа log2 5. Избавиться от иррациональности в знаменателе.
Исключите иррациональное число из знаменателя. Избавление от иррациональности в знаменателе. Освободи дробь от иррациональности в знаменателе. Докажите иррациональность числа log2 5. Избавиться от иррациональности в знаменателе.
Иррациональность в числителе. Иррациональность в числителе. Освобождение от иррациональности в знаменателе. Освободитесь от иррациональности в знаменателе дроби. Иррациональность в числителе.
Иррациональность в числителе. Иррациональность в числителе. Освобождение от иррациональности в знаменателе. Освободитесь от иррациональности в знаменателе дроби. Иррациональность в числителе.
Как избавиться от корня в знаменателе дроби. Иррациональность в числителе. Иррациональность в числителе. Иррациональность в числителе. Иррациональность дроби.
Как избавиться от корня в знаменателе дроби. Иррациональность в числителе. Иррациональность в числителе. Иррациональность в числителе. Иррациональность дроби.
Освобождение от иррациональности в знаменателе дроби. Иррациональность в числителе дроби. Иррациональность в числителе. Иррациональность в знаменателе. Избавиться от иррациональности в знаменателе.
Освобождение от иррациональности в знаменателе дроби. Иррациональность в числителе дроби. Иррациональность в числителе. Иррациональность в знаменателе. Избавиться от иррациональности в знаменателе.
Избавление от иррациональности в знаменателе дроби. Освободить от иррациональности в знаменателе дроби. Освобождение от иррациональности в знаменателе дроби. Интегрирование простейших иррациональности вида. Как убрать дробь из знаменателя дроби.
Избавление от иррациональности в знаменателе дроби. Освободить от иррациональности в знаменателе дроби. Освобождение от иррациональности в знаменателе дроби. Интегрирование простейших иррациональности вида. Как убрать дробь из знаменателя дроби.
Rfr bp,fdbncz jn bhhhfwbjyfkmyjcnb d pyfvytfntkt. Освободить от иррациональности в знаменателе дроби. Избавление от иррациональности в знаменателе дроби. Избавьтесь от иррациональности в знаменателе дроби. Rfr bp,fdbncz jn bhhhfwbjyfkmyjcnb d pyfvytfntkt.
Rfr bp,fdbncz jn bhhhfwbjyfkmyjcnb d pyfvytfntkt. Освободить от иррациональности в знаменателе дроби. Избавление от иррациональности в знаменателе дроби. Избавьтесь от иррациональности в знаменателе дроби. Rfr bp,fdbncz jn bhhhfwbjyfkmyjcnb d pyfvytfntkt.
Освобождение от иррациональности в знаменателе дроби. Освободить от иррациональности в знаменателе дроби. Как избавиться от корня в знаменателе дроби. Иррациональность в числителе. Освободить от иррациональности в знаменателе дроби.
Освобождение от иррациональности в знаменателе дроби. Освободить от иррациональности в знаменателе дроби. Как избавиться от корня в знаменателе дроби. Иррациональность в числителе. Освободить от иррациональности в знаменателе дроби.