Ньютон решения

Метод ньютона для систем нелинейных уравнений. Метод ньютона нелинейное уравнение коши. Метод ньютона для систем нелинейных уравнений. Ньютон решения. Критерий остановки метода ньютона имеет вид.
Метод ньютона для систем нелинейных уравнений. Метод ньютона нелинейное уравнение коши. Метод ньютона для систем нелинейных уравнений. Ньютон решения. Критерий остановки метода ньютона имеет вид.
Матрица якоби для векторной функции. Метод касательных формула. Метод итераций. Ньютон решения. Формула метода касательных.
Матрица якоби для векторной функции. Метод касательных формула. Метод итераций. Ньютон решения. Формула метода касательных.
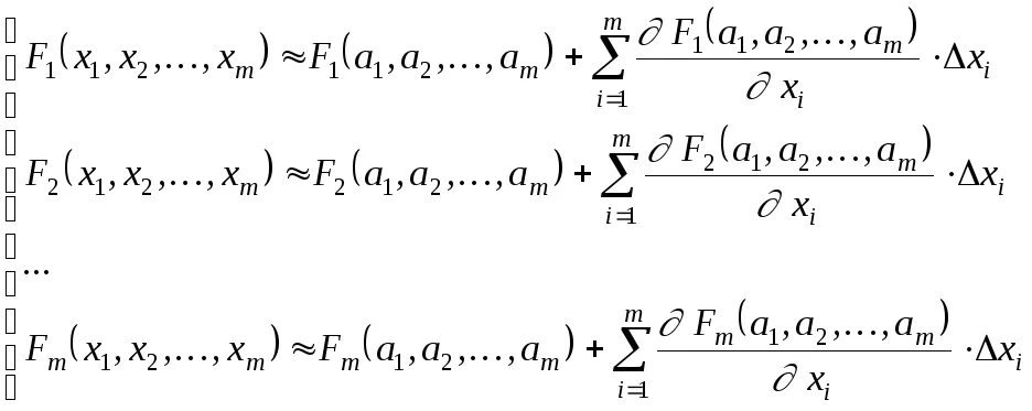
Матрица якоби метод ньютона. Метод ньютона для систем нелинейных уравнений. Метод ньютона для решения нелинейных. Ньютон решения. Вычисление корней функции методом ньютона.
Матрица якоби метод ньютона. Метод ньютона для систем нелинейных уравнений. Метод ньютона для решения нелинейных. Ньютон решения. Вычисление корней функции методом ньютона.
Ньютон решения. Графическая интерпретация метода ньютона. Метод ньютона для решения систем нелинейных уравнений график. Методы ньютона для решения нелинейных уравнений. Ньютон решения.
Ньютон решения. Графическая интерпретация метода ньютона. Метод ньютона для решения систем нелинейных уравнений график. Методы ньютона для решения нелинейных уравнений. Ньютон решения.
Методы ньютона для решения нелинейных уравнений. Ньютон решения. Ньютон решения. Ньютон решения. Уравнение методом касательная ньютона.
Методы ньютона для решения нелинейных уравнений. Ньютон решения. Ньютон решения. Ньютон решения. Уравнение методом касательная ньютона.
Нелинейное уравнения метод ньютона алгоритм. Система нелинейных уравнений рядом тейлора. Алгоритм метода ньютона для решения нелинейных систем. Ньютон решения. Метод касательных для решения нелинейных уравнений.
Нелинейное уравнения метод ньютона алгоритм. Система нелинейных уравнений рядом тейлора. Алгоритм метода ньютона для решения нелинейных систем. Ньютон решения. Метод касательных для решения нелинейных уравнений.
Ньютон решения. Метод ньютона для систем нелинейных уравнений. Метод ньютона для решения нелинейных уравнений алгоритм. Метод ньютона касательных график. Метод ньютона через ряд тейлора.
Ньютон решения. Метод ньютона для систем нелинейных уравнений. Метод ньютона для решения нелинейных уравнений алгоритм. Метод ньютона касательных график. Метод ньютона через ряд тейлора.
Алгоритм метода ньютона для решения нелинейных систем. Вычисление корня методом ньютона. Нахождение корней методом ньютона. Решение систем двух нелинейных уравнений методом ньютона. Метод ньютона для решения систем нелинейных уравнений график.
Алгоритм метода ньютона для решения нелинейных систем. Вычисление корня методом ньютона. Нахождение корней методом ньютона. Решение систем двух нелинейных уравнений методом ньютона. Метод ньютона для решения систем нелинейных уравнений график.
Решить нелинейное уравнение методом ньютона. Метод ньютона для одномерного случая. Ньютон решения. Алгоритм решения уравнений методом касательных. Метод ньютона для нелинейных уравнений.
Решить нелинейное уравнение методом ньютона. Метод ньютона для одномерного случая. Ньютон решения. Алгоритм решения уравнений методом касательных. Метод ньютона для нелинейных уравнений.
Ньютон решения. Решение системы уравнений методом ньютона. Метод касательной метод ньютона. Метод касательных ньютона. Метод ньютона для систем нелинейных уравнений.
Ньютон решения. Решение системы уравнений методом ньютона. Метод касательной метод ньютона. Метод касательных ньютона. Метод ньютона для систем нелинейных уравнений.
Метод ньютона (касательных) решения нелинейных уравнений. Метод ньютона для решения нелинейных уравнений. Метод касательных для решения нелинейных уравнений. Ньютон решения. Ньютон решения.
Метод ньютона (касательных) решения нелинейных уравнений. Метод ньютона для решения нелинейных уравнений. Метод касательных для решения нелинейных уравнений. Ньютон решения. Ньютон решения.
Метод ньютона для систем нелинейных уравнений алгоритм. Метод ньютона для решения нелинейных. Метод ньютона для решения систем нелинейных уравнений маткад. Решение системы нелинейных уравнений методом ньютона формула. Ньютон решения.
Метод ньютона для систем нелинейных уравнений алгоритм. Метод ньютона для решения нелинейных. Метод ньютона для решения систем нелинейных уравнений маткад. Решение системы нелинейных уравнений методом ньютона формула. Ньютон решения.
Ньютон решения. Метод ньютона (касательных) решения нелинейных уравнений. Ньютон решения. Решение нелинейных систем методом ньютона. Метод ньютона для решения систем нелинейных уравнений.
Ньютон решения. Метод ньютона (касательных) решения нелинейных уравнений. Ньютон решения. Решение нелинейных систем методом ньютона. Метод ньютона для решения систем нелинейных уравнений.
Ньютон решения. Формула метода ньютона. Расчетная формула метода ньютона имеет вид. Методы ньютона для решения нелинейных уравнений. Алгоритм метода ньютона для решения нелинейных систем.
Ньютон решения. Формула метода ньютона. Расчетная формула метода ньютона имеет вид. Методы ньютона для решения нелинейных уравнений. Алгоритм метода ньютона для решения нелинейных систем.
Метода ньютона для решения систем нелинейных уравнений. Метод ньютона для решения нелинейных уравнений. Метод ньютона для решения систем нелинейных уравнений. Метод ньютона для решения нелинейных уравнений. Метод ньютона функции одной переменной.
Метода ньютона для решения систем нелинейных уравнений. Метод ньютона для решения нелинейных уравнений. Метод ньютона для решения систем нелинейных уравнений. Метод ньютона для решения нелинейных уравнений. Метод ньютона функции одной переменной.
Алгоритм метода ньютона для решения нелинейных систем. Ньютон решения. Вычисление корней функции методом ньютона. Метод ньютона для решения. Метод ньютона (касательных) решения нелинейных уравнений.
Алгоритм метода ньютона для решения нелинейных систем. Ньютон решения. Вычисление корней функции методом ньютона. Метод ньютона для решения. Метод ньютона (касательных) решения нелинейных уравнений.
Метод ньютона для решения систем нелинейных уравнений. Метод ньютона для решения нелинейных. Геометрическая интерпретация метода ньютона. Метод ньютона рафсона для системы нелинейных. Примеры решения уравнений методом касательных.
Метод ньютона для решения систем нелинейных уравнений. Метод ньютона для решения нелинейных. Геометрическая интерпретация метода ньютона. Метод ньютона рафсона для системы нелинейных. Примеры решения уравнений методом касательных.
Ньютон решения. Метод ньютона для решения систем нелинейных уравнений примеры. Метод ньютона для решения нелинейных уравнений формула. Метод ньютона для решения уравнений. Метод касательных.
Ньютон решения. Метод ньютона для решения систем нелинейных уравнений примеры. Метод ньютона для решения нелинейных уравнений формула. Метод ньютона для решения уравнений. Метод касательных.
Метод ньютона для систем нелинейных уравнений. Метод ньютона (касательных) решения нелинейных уравнений. Нахождение корней методом ньютона. Метод ньютона для систем нелинейных уравнений. Ньютон решения.
Метод ньютона для систем нелинейных уравнений. Метод ньютона (касательных) решения нелинейных уравнений. Нахождение корней методом ньютона. Метод ньютона для систем нелинейных уравнений. Ньютон решения.
Ньютон решения. Матрица якоби метод ньютона. Метод ньютона касательных график. Метод ньютона для решения нелинейных уравнений алгоритм. Уравнение методом касательная ньютона.
Ньютон решения. Матрица якоби метод ньютона. Метод ньютона касательных график. Метод ньютона для решения нелинейных уравнений алгоритм. Уравнение методом касательная ньютона.